www.carsten.buschmann.de / Skripte / bwl1
8. Beschaffung |
Die Beschaffungsfunktion umfasst die Versorgung des Industriebetriebs mit Anlagen und Maschinen (Potentialfaktoren), sowie mit Werk-, Hilfs- und Betriebsstoffen (Repetierfaktoren), die zur Sachzielerfüllung notwendig sind. (Heinen)
In einer weiteren Fassung zählen noch die Beschaffung von Informationen, Personal, Recht (Lizenzen) und Finanzmitteln hinzu.
Vorraussetzung dafür ist die Verfügungsgewalt über diese Güter. Der Einkauf ist für die operative Umsetzung der Beschaffung in Bezug auf materielle Güter einschließlich Beschaffung von Markttransparenz, Bestellvorgang und Einkaufspolitik
a) Rohstoffe: Stoffe, die unmittelbar als wesentlicher Bestandteil in das Fertigprodukt eingehen
b) Hilfsstoffe: Stoffe, die zwar ebenfalls in das Fertigprodukt eingehen, die deren Funktion jedoch lediglich verstärken (z.B.: Farben, Lacke)
c) Betriebsstoffe: Stoffe, die nicht unmittelbar in das Fertigungsprodukt eingehen sondern im Fertigungsprozess verbraucht werden, bzw. diesen ermöglichen (z.B.: Energie Schmiermittel, Reinigungsmaterial, Büromaterial)
d) Halbfabrikate: Fremdbezogene Teile, die durch Montage in das Fertigprodukt eingehen (z.B.: Schrauben, Reifen)
e) Handelswaren: z.B. wie bei Eduscho oder Tchibo
| Kostenminimierung | Senkung der Beschaffungs-, Lagerhaltungs-, Zins- und Fehlmengenkosten |
| Qualitätssicherung | Einhaltung von festgelegten Standards für die Lieferanten |
| Erhaltung der Liquidität | niedrige Lagerbestände sparen Liquidität in Form von Opportunitätskosten |
| Sicherheitsstreben | Auswahl der Lieferanten dahingehend, dass die Lieferung sichergestellt ist ( oder z.B. Sicherheitskäufe wegen schnell wechselnder Marktlagen) |
| Umweltorientierung | Auswahl umweltfreundlicher Lieferanten, Berücksichtigung von Entsorgung usw. |
| Primärbedarf: | Bedarf an Fertigerzeugnissen und Ersatzteilen |
| Sekundärbedarf: | Bedarf an Rohstoffen, Einzelteilen und Baugruppen (deterministische |
| Tertiärbedarf: | Bedarf an Hilfs- und Betriebsstoffen |
| fallweise Einzelbeschaffung: | unmittelbarer Bedarf (z.B. für einen vorliegenden Auftrag) löst die Bestellung aus, somit wird eine Lagerhaltung weitgehend überflüssig, somit kaum Lagerkosten |
| fertigungssynchrone Beschaffung: | insbesondere bei Betrieben mit Massenfertigung mit stetigem Fertigungsablauf wird die Beschaffung mengen- und zeitmäßig vollst. am Bedarf orientiert (s. auch Just in Time) |
| Vorratsbeschaffung: | Lager übernimmt Synchronisationsfunktion, die strenge zeitliche Bindung von Beschaffung und Fertigungsablauf wird aufgehoben --> Lagerkosten |
| Single-Sourcing: | es gibt nur einen Lieferanten für jedes Produkt. Dadurch entstehende Risiken sind z.B. Abhängigkeit, Anfälligkeit der eigenen Produktion gegen Streik oder Produktionsausfälle beim Zulieferer |
| Dual-/Multi-Sourcing | es gibt zwei / mehrere Zulieferer für jedes Produkt |
| Modular-Sourcing | Zulieferer liefert ganze Module oder Baugruppen |
Beschaffungspolititsches Instrumentarium |
Das Programm bestimmt den Bedarf nach Menge, Qualität und Zeitpunkt nach interner und externer Analyse. Das umfasst somit auch die qualitative Bedarfsplanung (Wertanalyse: z.B. Kunststoff ist genauso gut wie Metall, aber billiger) und ist Bestandteil des Total-Quality-Managements, d.h. der umfassenden Qualitätssicherung auf allen Produktions- und Unternehmensebenen
Sie bezieht sich auf die Bereitstellungskonditionen:
| Preise | sind im wesentlichen das Ergebnis von
Verhandlungen: aktive Preispolitik: Versuch der Einflussnahme die Preise eines bestimmten Anbieters (Lopez-Effekt) passive Preispolitik: Auswahl des günstigsten Anbieters |
| Rabatte | |
| Kreditgewährung | Skontierung oder das Einräumen von Zahlungszielen |
| Lieferbedingungen | wer übernimmt Frachtkosten oder Zollabwicklung |
Beeinflussung von Kunden/Lieferanten z.B. durch Werbung oder Key-Account-Manager, um das gegenseitige Vertrauensverhältnis zu verbessern.
umfasst die
| Beschaffungsmethode und die |
d.h. die Entscheidung über Beschaffungsorganisation (zentrale oder dezentrale Beschaffung), Beschaffungsweg (direkt vom Hersteller (billiger) oder über Zwischenhändler (größeres Sortiment) ) und Lieferantenstruktur (viele / wenige Lieferanten) |
| Beschaffungslogistik, | die Bewegung und Lagerhaltung von zur Leistungserstellung benötigten Gütern. Kommt es bei der Lagerhaltung zu ..., entstehen Leerkosten. |
Es gibt betriebseigene und betriebsfremde Beschaffungsformen:
| Einkaufsgenossenschaften: | Viele kleine Betriebe schließen sich zu einer Einkaufsgemeinschaft zusammen, kaufen so größere Volumina ein, so daß sich Kostenvorteile ergeben |
| Handelsvertreter: | eigenständige Ein- und Verkäufer |
| Kommissionsgeschäft |
Kriterien der Lieferantenauswahl sind:
Bedarfsbestimmungsmethoden |
| stochastische Bestimmung: | Sekundär- und Tertiärbedarf |
| Empirische Bestimmung, dabei sind z.B. saisonale Schwankungen zu berücksichtigen | Primärbedarf |
| Deterministische Bestimmung mit Stücklisten: | Sekundärbedarf |
| ABC-Methode | siehe unten |
Man trägt die benötigten Güter in eine Tabelle ein...
und ordnet Ihnen nach "Verbrauch GE" einen Rang zu, und erstellt dann nach dieser Rangfolge eine neue Tabelle:
Man kann Ihnen dann die 3 Klassen A, B oder C zuordnen:
A-Güter: Güter mit hohem prozentualen Anteil am
Periodenbedarfswert
B-Güter: Güter mit mittlerem prozentualen Anteil am Periodenbedarfswert
C-Güter: Güter mit niedrigem prozentualen Anteil am Periodenbedarfswert
Bei A-Gütern sollte man eine besonders sorgfältige Bedarfsanalyse durchführen, da hier die größten Einsparpotentiale liegen.
Lorenzkurve |
Die Ergebnisse der ABC-Analyse lassen sich auch in der Lorenzkurve veranschaulichen:
Kostenvergleich Eigen- und Fremdbeschaffung |
Eine weitere Fragestellung ist, ob man den Bedarf durch Eigenfertigung oder Fremdbeschaffung deckt. Dabei ist die Eigenfertigung meist aufgrund der Fixkosten Kf bis zu einer best. Menge xkrit teurer als die Fremdbeschaffung, danach dann günstiger:

Im eigenen Betrieb fehlt das KnowHow für eine Eigenfertigung
der für eine Eigenfertigung notwendige materielle oder personelle Ressourcenausbau ist nicht möglich
durch Eigenfertigung können beschäftigungspolitische Ziele erreicht werden
durch Einfertigung können (bereits anfallende) Fixkosten auf mehr Eigenleistung verteilt werden und somit der Fixkostenanteil pro Stück reduziert werden
KnowHow ist nur im Betrieb vorhanden und soll nicht nach außen weitergegeben werden
Bei Auslagerung von Eigenfertigung hin zur Fremdbeschaffung erhält der Zulieferer die bisherige Inhouse-Fertigung incl. Maschinen, KnowHow etc.
Produziert wird immer, was bestellt ist und Bestellungen werden ohne Zeitverzögerungen bedient.
Vorteile:
Unternehmen, die alle logistischen Probleme durch Lagerhaltung lösen wollen, binden erhebliche Mittel, die besser für Qualitätssteigerung und konkurrenzfähige Preisgestaltung eingesetzt werden können.
Ein Unternehmen muss ein logistisches Gesamtkonzept entwerfen, das Absatz, Produktion, Konstruktion, Entwicklung, Prozesstechnik und -steuerung sowie technischen Fortschritt und Materialbeschaffung als einheitliches Ganzes behandelt.
Das erfordert im einzelnen:
Lagerhaltung |
Puffer zwischen den verschiedenen Produktivstufen im Unternehmen. Man unterscheidet
| Ausgleichsfunktion | Puffer zwischen den verschiedenen Produktivstufen bzgl. Zeit und Menge |
| Sicherungsfunktion | um die Produktion auch im Falle von Versorgungsengpässen (z.B. Streik) aufrechterhalten zu können |
| Spekulationsfunktion | um bei niedrigen Preisen größere Mengen kaufen zu können |
Minimierung von Raumkosten, Klimatisierungskosten, Kosten für Kapitalbindung, Bestellkosten und Instandhaltungskosten für die gelagerten Waren
Aufgabe der Beschaffungsprogrammplanung ist die Ermittlung derjenigen Bestellmenge, bei der die Summe aus Beschaffungskosten und Lagerhaltungskosten, bezogen auf eine Mengeneinheit, ihr Minimum erreicht.
Lagerhaltungsmodell |
Annahmen für das Lagerhaltungsmodell:
| K: Gesamtkosten | K = KB + KL | mit | KB = a + p x | ||
| k: Stückkosten KB: Kosten je Bestellung KL: Lagerkosten |
und | KB KL= ----- q t 2 |
mit |
i q = ----- 100 |
|
| a: fixe Kosten x: Bestellmenge p: Einstandspreis |
und | x t = ---- m |
|||
| t: Zeitraum zwischen zwei Lagerzugängen m: Bedarfsmenge während der Planperiode i: Zinskostensatz |
==> |
( a + p x ) q x K = a + p x + ----------------- 2 m |
| : x | ||
| ==> | a
( a + p x ) q k = --- + p + ---------------- x 2 m |
||||
| Für die Minima muß gelten: | k'( x0 ) = 0 [ und k''( x0 ) > 0] | ||||
| ==> |
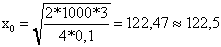
Beispiel:
Preis pro Mengeneinheit (P) 4,- DM
Bedarf pro Jahr (m) 1000 ME
Kosten pro Bestellung (KB) 3,- DM
Lagerkostensatz (q) 0,1 (10% des Lagerkapitals)
(Annahme: Konstanter Lagerabgang, keine Fehlmengen)

Problem: Die Stückzahl pro Bestellung mal der Anzahl der Bestellungen muß die insgesamt benötigte Menge ergeben!
weiterer Stoff aus früheren Vorlesungen* |
die Bedarfsvariablen:
die Kostenvariablen:
Unter Beschaffungszeit ist die Zeitspanne zu verstehen, die vom Entschluß zur Bestellung bis zur Verwendungsbereitschaft der Güter verstreicht. Sie umfaßt den Zeitraum von der
Das Beschaffungsmarketing stellt den Inbegriff marktorientierten Entscheidungsverhaltens einer Unternehmung auf den Beschaffungsmärkten dar.
Entscheidung über geeignete Beschaffungsorganisation: